1. Introduzione
Nella seconda metà del 2014, la variazione positiva del Pil sancisce, tecnicamente, l’uscita dell’Italia dalla recessione. Dal 2014 la dinamica della crescita non ha avuto interruzioni, raggiungendo nel 2017 una variazione del Pil pari all’1,6%. Parallelamente, dallo stesso anno l’occupazione ha invertito la tendenza alla diminuzione, registrata quasi ininterrottamente dal 2009, e ha ripreso a crescere, registrando incrementi positivi negli anni successivi. Il tasso di occupazione ha raggiunto, nell’ultimo trimestre 2017, un livello superiore al massimo storico dagli anni Novanta.
Nel biennio 2015-2016 si è registrato un incremento rilevante delle assunzioni a tempo indeterminato, in coincidenza con la disponibilità di incentivi alle assunzioni nel lavoro a tempo indeterminato previsti dalle rispettive leggi finanziarie. Nel marzo 2015 è stato inoltre introdotto, nell’ambito delle riforme del mercato del lavoro volute dal Jobs Act, il cd. contratto a tutele crescenti, a parziale riordino delle tutele sul licenziamento nel lavoro subordinato. La nuova disciplina, che prevede una riduzione dei costi di dismissione di lavoratori dipendenti, avrebbe dovuto, nelle intenzioni del policy maker, incrementare la propensione delle imprese ad assumere con contratti a tempo indeterminato.
È possibile che le misure e le riforme richiamate abbiano avuto un impatto rilevante sulla dinamica dell’occupazione e sulla sua composizione in termini di forme contrattuali utilizzate, dato l’aumento marcato dell’occupazione dipendente e del lavoro a tempo indeterminato, in corrispondenza con la ripresa della crescita economica. Tale ipotesi è rafforzata dalla contestualità tra l’incremento del flusso di assunzioni a tempo indeterminato e la crescita del prodotto, poiché generalmente si registra un ritardo sistematico tra l’uscita da una fase recessiva e la ripresa della dinamica occupazionale, in special modo per il lavoro a tempo indeterminato. Inoltre l’analisi dei flussi in ingresso nell’occupazione, relativi alla seconda metà del 2016 e al 2017 rivela che, in coincidenza con l’interruzione degli incentivi all’occupazione stabile, la dinamica delle assunzioni a tempo indeterminato si è bruscamente interrotta ed è tornata progressivamente sui livelli del 2014. In sintesi, una parte dell’aumento del numero di nuovi contratti a tempo indeterminato nel 2015 e nel 2016 potrebbe essere riconducibile alle modifiche normative cui s’è accennato, così come l’abolizione delle misure di incentivo nel 2017 può aver generato un repentino ritorno ai livelli precedenti di assunzioni.
Il presente contributo mira a stimare quanta parte dell’occupazione a tempo indeterminato avviata nel 2015 e 2016 è legata agli incentivi al lavoro a tempo indeterminato e all’introduzione del contratto a tutele crescenti. Va chiarito che le due misure hanno finalità molto diverse: lo sgravio contributivo ha carattere spiccatamente congiunturale, dal momento che produce una diminuzione del costo del lavoro per un periodo definito, ovvero tre anni per le assunzioni effettuate nel 2015 e due anni per quelle effettuate nel 2016. Il contratto a tutele crescenti è al contrario una riforma di natura strutturale che modifica in modo sostanziale e permanente la disciplina sul licenziamento. La contemporaneità delle due misure, incentivi alle assunzioni e contratto a tutele crescenti, che insistono inoltre sul medesimo collettivo – gli avviamenti a tempo indeterminato – pone seri problemi di identificazione degli effetti. Come sarà chiarito più avanti, i diversi criteri di eleggibilità dei due provvedimenti impongono la disponibilità dell’informazione congiunta sull’ammissibilità agli incentivi contributivi e sulla dimensione di impresa al momento dell’assunzione. La banca dati nella forma qui utilizzata fornisce solo la prima informazione, mentre il dato sulla dimensione di impresa necessita di una operazione di integrazione tra banche dati. Tale elemento rappresenta un limite di non poco conto nella lettura dei risultati riportati che possono essere attribuiti all’intero impatto netto degli incentivi contributivi sulle assunzioni a tempo indeterminato e a una parte non quantificabile del contratto a tutele crescenti.
La principale utilità di una valutazione dell’impatto netto della politica riguarda la verifica della possibilità che anche in assenza di incentivi il volume di assunzioni a tempo indeterminato osservato vi sarebbe stato comunque, ad esempio come effetto della rinnovata fiducia delle imprese nelle prospettive future dovute alla ripresa della crescita del prodotto. In tal caso la spesa destinata agli incentivi non avrebbe avuto effetti. Il parametro di interesse si sposta quindi sul numero e sulla quota di avviamenti a tempo indeterminato che vi sarebbero stati anche in assenza della misura, ricavando per differenza con quanto osservato, l’impatto netto della politica. In altri termini, si ipotizza che il volume di nuove assunzioni di rapporti di lavoro a tempo indeterminato registrato nel 2015 e nel 2016 contenga una componente dovuta alle modifiche normative e una dovuta alla ripresa economica o ad altri fattori non riconducibili ai provvedimenti varati.
A seguito dell’introduzione del Jobs Act, dei successivi decreti attuativi e degli incentivi occupazionali, alcuni autori hanno sviluppato analisi di carattere valutativo, finalizzate a stimare gli effetti occupazionali delle diverse misure. Sestito e Viviano (2016), limitatamente alla regione Veneto, hanno valutato in circa il 40% l’effetto degli incentivi all’occupazione previsti dalla legge n. 190/2014 sulle assunzioni avvenute nel 2015 e in misura del 5% circa l’effetto attribuito al contratto a tutele crescenti. Occorre rimarcare che nei dati utilizzati dagli autori, derivati dal sistema delle comunicazioni obbligatorie on-line, era disponibile per la regione Veneto il dato sulla dimensione d’impresa che ha consentito di scorporare gli effetti delle due misure. Più di recente Boeri e Garibaldi (2018), utilizzando gli archivi amministrativi dell’Inps, hanno affrontato la valutazione del contratto a tutele crescenti concentrandosi sul comportamento delle imprese distinte sopra e sotto la soglia dei 15 dipendenti. Il principale risultato al quale giungono gli autori riguarda un aumento della mobilità delle imprese intorno alla soglia. In particolare gli autori evidenziano un aumento rispetto al passato del numero delle imprese che superano la soglia e, tra le imprese con oltre 15 dipendenti, un aumento delle assunzioni a tempo indeterminato superiore rispetto alla crescita registrata per le imprese con meno di 15 dipendenti. Bisio e Zurlo (2018) hanno proposto una stima dell’effetto dell’introduzione del contratto a tutele crescenti sulla domanda di lavoro espressa dalle imprese con oltre 15 dipendenti, concludendo che l’utilizzo congiunto del contratto a tutele crescenti e degli incentivi contributivi ha generato nel 2015 un aumento dell’occupazione dipendente superiore di circa il 28% rispetto a chi non ha usufruito degli incentivi. Infine, pur circoscritto a un’analisi descrittiva, il lavoro di Fana, Guarascio e Cirillo (2015), condotto su dati Istat e Inps, non rileva effetti del Jobs Act sulla crescita occupazionale.
Oltre ai lavori appena illustrati, uno studio dell’Inapp (Centra e Gualtieri 2017) ? condotto tramite un approccio controfattuale e una strategia di identificazione basata sul modello diff-in-diff, applicata sfruttando il confronto con il flusso di avviamenti nell’anno precedente, quando le due misure non erano vigenti ? ha mostrato effetti positivi delle due misure per il 2015. La stima per il 2016 risulta più complessa, dal momento che una strategia di tipo diff-in-diff è di difficile applicazione, poiché nell’anno precedente, il 2015, entrambe le misure erano disponibili. Occorre poi considerare che la riduzione dei benefici nel 2016 ha avuto l’effetto di concentrare numerose assunzioni negli ultimi mesi del 2015, anticipando verosimilmente avviamenti di contratti che sarebbero avvenuti nell’anno successivo.
Nel presente lavoro la stima degli effetti è stata pertanto condotta con una strategia differente, sfruttando uno dei criteri di eleggibilità al beneficio degli incentivi, che prevede che non siano ammissibili i lavoratori che avessero avuto un contratto a tempo indeterminato nei sei mesi precedenti l’assunzione. La strategia di identificazione degli effetti si fonda su un approccio controfattuale e sulla stima di un modello di discontinuità intorno alla soglia di ammissibilità al beneficio, pari a sei mesi (Regression Discontinuity Design, Thistlethwaite e Campbell 1960). La definizione del modello di discontinuità ha presentato alcune difficoltà legate alla costruzione della forcing variable, definita dal numero di giorni trascorsi dal termine dell’ultimo rapporto di lavoro dipendente a tempo indeterminato e ha richiesto, come sarà chiaro più avanti, la formulazione di alcune ipotesi sulla forma della distribuzione della variabile per un sottoinsieme di specifici rapporti di lavoro[1].
Il modello è stato stimato separatamente per il 2015 e per il 2016: per il primo anno sono stati confermati in larga misura gli effetti già stimati (Centra e Gualtieri 2017), mentre per il 2016 è stato stimato un effetto più basso ma significativamente positivo, pari a circa la metà dell’effetto stimato per l’anno precedente.
L’esposizione dei risultati dell’esercizio di valutazione è preceduta dall’illustrazione del quadro normativo e di contesto del mercato del lavoro negli anni recenti, considerando un arco di tempo elevato, al fine di dar conto della dinamica dell’occupazione nell’intera fase di ripresa e delle prime evidenze sull’andamento dell’occupazione a tempo indeterminato e a tempo determinato nel 2017.
2. Quadro normativo
La riforma nota come Jobs Act (legge n. 184/2014) è intervenuta modificando aspetti importanti della regolamentazione del lavoro, dal riordino delle tipologie contrattuali a quello del sistema di ammortizzatori sociali, dall’assetto dei servizi per il lavoro e delle politiche attive alla revisione delle tutele sul licenziamento. Nel 2015 è stato introdotto il cd. contratto a tutele crescenti (D.Lgs. n. 23/2015) applicato ai lavoratori dipendenti assunti dal marzo 2015. Il nuovo regime prevede, in caso di licenziamento dichiarato illegittimo in sede giudiziale, la possibilità di indennizzo economico in misura proporzionale all’anzianità del rapporto di lavoro, in sostituzione della possibilità di reintegro nel posto del lavoro previsto dalla disciplina precedente.
Dal 2015 è stata introdotta una misura volta ad aumentare l’occupazione stabile tramite incentivi per l’assunzione di lavoratori a tempo indeterminato. La Legge di stabilità per il 2015 ha introdotto un incentivo economico per l’assunzione di personale dipendente a tempo indeterminato e per la trasformazione di rapporti a termine in rapporti stabili (legge n. 190/2014, art. 1, c. 118); la norma prevedeva l’esonero totale dal versamento dei contributi previdenziali fino a un limite massimo di 8.060 euro all’anno, per tre anni, per le assunzioni e le trasformazioni avvenute nel 2015. Oltre a una serie di esclusioni attinenti la natura del datore di lavoro e la tipologia contrattuale di assunzione, la norma prevedeva alcuni casi specifici di esclusione dal beneficio economico: per le assunzioni e le trasformazioni di lavoratori occupati, presso qualsiasi datore di lavoro, con contratto a tempo indeterminato nei sei mesi precedenti l’assunzione o per lavoratori già occupati a tempo indeterminato nel quarto trimestre 2014 con il medesimo datore di lavoro o con società da questi controllate o comunque facenti capo, ancorché per interposta persona, al datore di lavoro medesimo. In tal modo la norma disponeva che il diritto alla fruizione dell’incentivo, a differenza del passato, sorgesse per la semplice assenza di un precedente rapporto di lavoro dipendente a tempo indeterminato. Tutte le principali stabilizzazioni verso la forma comune di lavoro (da tempo determinato, da lavoro a chiamata e da lavoro a progetto, ma non da apprendistato, in quanto già a tempo indeterminato) siano premiate, con l’obiettivo di diminuire le fila del lavoro atipico a favore di quello stabile.
Per il 2016 la Legge di stabilità (legge n. 208/2015), ha mantenuto lo stesso incentivo in caso di assunzione a tempo indeterminato, diminuendo però sia l’incidenza dello sgravio contributivo, ridotto dal 100% al 40%, e il tetto massimo, portato a 3.250 euro annui, sia il periodo di fruizione dello sgravio, portato da tre a due anni.
Nell’anno successivo è stata superata la generalità del campo di applicazione, principale caratteristica degli incentivi attivati nel biennio precedente. Le misure varate nel 2017 prevedono incentivi all’assunzione correlati a specifiche caratteristiche soggettive dei lavoratori assunti, tra i quali disoccupati, giovani, donne.
Nel triennio 2015-2017 il sistema di incentivi ha quindi accompagnato l’aumento dell’occupazione, seguendo criteri che hanno previsto progressivamente sia la riduzione del contributo nel tempo sia il restringimento selettivo delle platee di eleggibilità. Nella prima fase (2015) i benefici economici sono stati particolarmente generosi e disponibili in modo generalizzato senza particolari limitazioni, agevolando l’occupazione stabile nella fase di ripresa della crescita. Nell’anno successivo l’importo dell’incentivo è stato ridotto, mantenendo il carattere non selettivo della platea di beneficiari. Nel 2017 il sistema di incentivi è stato disegnato al fine di promuovere l’assunzione di particolari segmenti del mercato del lavoro, caratterizzati da elevati livelli di disagio e bassa occupabilità.
3. Dinamica dell’occupazione nella fase di ripresa della crescita
Dal 2014 l’occupazione ha invertito la tendenza alla diminuzione e ha ripreso a crescere mantenendo il segno positivo fino al 2017, ultimo anno di osservazione qui trattato (figura 1).

Nel periodo 2014-2017 l’aumento dell’occupazione è dovuto esclusivamente al lavoro dipendente, la cui crescita ha più che compensato il calo deciso del lavoro autonomo.
Dal 2011 la tendenza del lavoro autonomo è stata quasi costantemente negativa e anche nella fase di ripresa, all’aumento dell’occupazione totale ha contribuito esclusivamente il lavoro dipendente (figura 2).

La flessione del lavoro autonomo risulta solo parzialmente associata alla fase recessiva e sembra aver assunto un carattere strutturale.
Le due componenti dell’occupazione dipendente, a tempo determinato e indeterminato, hanno subìto in misura differente gli effetti della lunga fase recessiva. Nel 2009 si è registrata una diminuzione rispetto all’anno precedente dell’occupazione pari a 372mila occupati; la flessione è stata dovuta quasi interamente al lavoro a tempo determinato (-153mila) e all’occupazione autonoma (-201mila), mentre il lavoro a tempo indeterminato è rimasto sostanzialmente stabile (-18mila). Nella prima fase di crisi le imprese che hanno avuto la necessità di ridurre il personale hanno semplicemente portato a naturale scadenza i rapporti di lavoro a termine. Nell’anno successivo, la perdita di posti di lavoro subordinato ha riguardato esclusivamente il lavoro a tempo indeterminato (-206mila). A partire dal 2011, fino alla fase di ripresa dell’occupazione nel 2014, l’input di lavoro nel breve periodo è stato regolato tramite il ricorso a forme di lavoro di carattere temporaneo, mentre il lavoro a tempo indeterminato ha registrato variazioni negative fino a tutto il 2013 (Canal 2016).
L’occupazione e tempo indeterminato registra in termini assoluti una decisa variazione nel 2015 (figura 3); l’incremento si mantiene costante fino a tutto il 2016, facendo registrare un aumento medio di circa 50mila occupati a trimestre.

In termini di crescita relativa il lavoro a tempo indeterminato ha mostrato, nella fase di ripresa dell’occupazione, variazioni inferiori all’1% (figura 4), fatta eccezione per il periodo di vigenza degli incentivi per l’assunzione a tempo indeterminato, compreso tra il 2015 e il 2016; nel corso del 2017, una volta terminati gli incentivi, il tasso di variazione si è riportato sui livelli del 2014. Dal 2014 il contributo alla variazione dell’occupazione dipendente è venuto quasi esclusivamente dal lavoro a tempo determinato, ad eccezione del periodo 2015-2016 (figura 5).


Avviamenti nel lavoro dipendente
A partire dal 2015 si è registrato un incremento marcato del flusso di nuovi contratti di lavoro subordinato a tempo indeterminato, in coincidenza con il varo dagli incentivi previsti dalla Legge di stabilità e dall’introduzione del contratto a tutele crescenti dal marzo del 2015. L’aumento ha riguardato sia le assunzioni di nuovi lavoratori che le trasformazioni di rapporti di lavoro a termine, anch’esse incentivate (tabella 1). L’aumento dei nuovi contratti a tempo indeterminato nel 2015 è stato pari al 59,5% rispetto all’anno precedente, mentre il numero di trasformazioni di contratti a termine è aumentato in ragione del 75,0%.

Nel biennio 2015-2016 le assunzioni agevolate sono state pari a 1.493.000 (1.079.000 nel 2015, 414.000 nel 2016), mentre le trasformazioni di rapporti a termine che hanno usufruito dell’incentivo hanno superato il mezzo milione (566.000, di cui 364.000 nel 2015 e 203.000 nel 2016), per un totale di nuovi rapporti di lavoro a tempo indeterminato superiore, nel biennio, a due milioni di unità.
La dinamica mensile delle trasformazioni e degli avviamenti incentivati rivela la marcata riduzione nel gennaio del 2016, in corrispondenza con il depotenziamento degli sgravi e un’altrettanto marcata concentrazione delle assunzioni e delle trasformazioni nell’ultimo mese del 2015 (figura 6).

Il flusso di nuovi contratti a tempo indeterminato (figura 7) registra una flessione negli ultimi mesi del 2014, verosimilmente dovuto al differimento di assunzioni e trasformazioni all’anno successivo per usufruire degli incentivi. Nel 2015 gli incentivi hanno spinto i datori di lavoro verso il lavoro a tempo indeterminato: il flusso di nuovi contratti si mantiene elevato fino a tutto il 2015. Le cessazioni di rapporti di lavoro a tempo indeterminato non sembrano aver subito aumenti rilevanti, portando la variazione netta su livelli elevati, per un totale di 856mila rapporti nel biennio 2015-2016. Il volume delle cessazioni non ha fatto registrare incrementi rilevanti nei primi due mesi del 2018, periodo nel quale sono venuti meno gli incentivi per i lavoratori avviati nei mesi corrispondenti del 2015, dal momento che lo sgravio contributivo aveva una durata di tre anni.

La disponibilità degli incentivi ha modificato la composizione degli ingressi nel lavoro dipendente secondo il tipo di contratto, spingendo i datori di lavoro, nel periodo di vigenza degli sgravi, verso il rapporto a tempo indeterminato e riducendo gli avviamenti con contratto a tempo determinato, scoraggiando anche se in lieve misura, anche l’utilizzo dell’apprendistato (figura 8).

Dal 2016 la tendenza all’aumento risulta esaurita e il flusso in ingresso si stabilizza sui livelli del 2014. Dalla metà dello stesso anno riprende a crescere il volume degli ingressi a tempo determinato. Nello stesso periodo l’incidenza degli avviamenti a tempo indeterminato sul totale degli avviamenti nel lavoro subordinato inverte la tendenza all’aumento e diminuisce quasi ininterrottamente fino ai primi mesi del 2018, passando da valori prossimi al 40% registrati al termine del 2015 a valori inferiori al 15% (figura 9). Parallelamente, la quota di avviamenti a tempo determinato fa segnare un aumento di oltre 20 punti percentuali dalla fine del 2015 agli ultimi mesi del 2017.
Le dinamiche osservate suggeriscono un impatto rilevante delle due misure sul comportamento delle imprese, ma limitato al biennio di disponibilità degli incentivi, che avrebbero solo ritardato l’aumento degli ingressi a tempo determinato registrato a partire dalla seconda metà del 2016.

4. Valutazione degli effetti nel 2015 e nel 2016
Base dati
La base dati utilizzata per l’analisi dell’impatto delle riforme sull’occupazione a tempo indeterminato è ricavata dal Sistema statistico delle comunicazioni obbligatorie on-line (SISCO) del Ministero del Lavoro e delle politiche sociali (MLPS). Si tratta di un sistema informativo alimentato dal flusso delle comunicazioni obbligatorie on-line[2] e contiene informazioni sulle attivazioni e sulle cessazioni di contratti di lavoro dipendente (Anastasia et al. 2016). L’utilizzo della fonte SISCO impone alcune considerazioni di carattere metodologico al fine di interpretare correttamente le analisi condotte. I dati sono riferiti a eventi (nel caso in esame si tratta di rapporti di lavoro attivati) e non a individui; le informazioni si riferiscono pertanto a flussi e non a consistenze riferite a occupati. Tali elementi impediscono un confronto immediato con gli usuali indicatori del mercato del lavoro (numero di occupati, tassi di occupazione e di disoccupazione, tassi di transizione tra forme di lavoro, tassi di turnover ecc.). I dati riferiti a flussi di eventi consentono di identificare in misura più precisa, rispetto a dati crossezionali, eventuali discontinuità nelle serie storiche riconducibili ad azioni di policy e a conseguenti modifiche nel comportamento dei datori di lavoro. Inoltre, variazioni anche rilevanti negli ingressi, nelle cessazioni e nelle trasformazioni di lavoro dipendente si traducono in piccole variazioni degli aggregati, rendendo scarsamente informativa la misura delle variazioni degli stock.
Dall’archivio trasmesso all’Inapp dal MLPS è stato estratto un campione di lavoratori per ciascuno dei quali sono stati considerati tutti gli eventi registrati. La disponibilità di tutti gli avviamenti registrati nel sistema SISCO per ogni lavoratore estratto nel campione rappresenta un’informazione cruciale per la messa a punto della strategia di identificazione degli effetti, come sarà chiaro più avanti. Il campione è stato estratto considerando i nati in 24 date dell’anno e si configura come un campione casuale semplice: le date selezionate si riferiscono al primo e al nono giorno del mese. La presenza del primo giorno di ogni mese genera una marcata distorsione nella composizione del campione in ordine alla cittadinanza dei lavoratori interessati, dal momento che una quota rilevante di cittadini non comunitari tende a concentrare la data di nascita comunicata il primo giorno dell’anno e, in misura minore ma non meno rilevante, nel primo giorno del mese (Giraudo e Quaranta 2018). Per evitare fenomeni di distorsione nelle stime è stato messo a punto uno stimatore che considera le stime ottenute dal campione una volta eliminato i nati nel primo giorno di ogni mese e imponendo, tramite tecniche di calibrazione, i totali così stimati all’intero campione (Deville e Särndal 1992). La procedura ha imposto la correzione per una serie di caratteristiche del lavoratore: genere, età in classi, cittadinanza, titolo di studio, tipo di contratto. La correzione ha diminuito la presunta sovrastima della quota di avviamenti che hanno interessato lavoratori non comunitari da valori compresi tra il 15% e il 17% negli anni considerati a valori compresi tra 8,4% e il 9,4%.
Strategia di identificazione degli effetti
La popolazione di interesse ai fini della valutazione della misura è rappresentata da tutti gli avviamenti nel lavoro dipendente privato, escluso l’apprendistato, il lavoro agricolo[3], il lavoro somministrato, il lavoro domestico, il lavoro a chiamata e gli avviamenti in forma di socio lavoratore[4]. La variabile di interesse (y) è il carattere del rapporto di lavoro avviato, se a tempo indeterminato (y=1) o a tempo determinato (y=0), espressa su ciascuna unità della popolazione come variabile dicotomica; la media della caratteristica di interesse rappresenta l’incidenza degli avviamenti a tempo indeterminato sul totale degli avviamenti, mentre la somma rappresenta il totale degli avviamenti a tempo indeterminato. Su quest’ultimo parametro si concentra l’attenzione della stima dell’effetto netto, vale a dire il numero di avviamenti a tempo indeterminato dovuti esclusivamente alla presenza degli incentivi e, dal marzo del 2015, al contratto a tutele crescenti.
La strategia di identificazione degli effetti si basa su uno dei criteri per l’ammissione al beneficio della decontribuzione, che prevede che il lavoratore assunto non abbia avuto un rapporto di lavoro dipendente a tempo indeterminato nei sei mesi precedenti l’assunzione. Tale regola definisce una soglia al di sotto della quale le assunzioni, siano esse a tempo indeterminato o determinato, non sono eleggibili alla decontribuzione e al di sopra della quale sono ammissibili. La soglia definisce quindi una partizione univoca della popolazione di interesse: avviamenti ammissibili e avviamenti non ammissibili. La popolazione risulta quindi ripartita dalla soglia prevista dalla norma, pari a 183 giorni (6 mesi), al di sotto della quale gli avviamenti non sono ammissibili all’incentivo: tale sottopopolazione identifica il gruppo di controllo (T=0). Gli avviamenti al di sopra della soglia rappresentano il gruppo di trattamento (T=1).
Una prima evidenza mostra che l’incidenza delle assunzioni a tempo indeterminato sul totale delle assunzioni nel lavoro dipendente risulta sistematicamente diversa tra individui eleggibili e non eleggibili, anche negli anni in cui il trattamento non era vigente (tabella 2), elemento che suggerisce la presenza di una elevata selezione della popolazione eleggibile.

Tuttavia, come si vedrà più avanti, il numero di avviamenti a tempo indeterminato, espresso sia in numero assoluto che come incidenza sul totale degli avviamenti, appare fortemente correlato, negativamente, con il numero di giorni trascorsi dalla cessazione dell’ultimo contratto a tempo indeterminato. Considerando il periodo 2010-2014, nel quale non era previsto il regime di incentivi, la relazione tra i due indicatori risulta sistematicamente negativa (r=-0,564).
Il contesto ben si presta a una strategia di identificazione degli effetti costruita sul confronto attorno alla soglia di eleggibilità o, più specificatamente, ricorrendo a un regression discontinuity design (RDD)[5] (Thistlethwaite e Campbell 1960; Trochim 1984; Imbens e Lemieux 2008; Martini e Sisti 2009; Trivellato 2009). Tale classe di strategie agisce ipotizzando che gli effetti di selezione tra individui trattati (nel caso in esame eleggibili) e individui non trattati (non eleggibili) si annullino in un intorno della soglia di ammissibilità[6]. Tale soglia (cut-point) pari a 183 giorni, desunta direttamente dal criterio di eleggibilità dettato dalla norma, è definita tramite il numero di giorni trascorsi dal termine dell’ultimo rapporto a tempo indeterminato. Occorre osservare, come accennato nell’introduzione, che la strategia di identificazione degli effetti è definita rispetto ai parametri che definiscono l’eleggibilità agli incentivi contributivi disponibili nel 2015 e nel 2016 e non è in grado di cogliere l’effetto del contratto a tutele crescenti, attivo dal marzo 2015. È verosimile che quest’ultimo agisca incentivando le assunzioni a tempo indeterminato sulle sole imprese con dimensione superiore ai 15 dipendenti, dal momento che per le imprese sotto tale soglia la disciplina abrogata dal D.Lgs. n. 23/2015 prevedeva già la possibilità di un indennizzo monetario in caso di licenziamento e non la reintegra nel posto di lavoro. Tali elementi, in assenza di ulteriori informazioni nei dati a disposizione, impedisce di quantificare quanta parte degli effetti stimati siano riconducibili, in ottica causale, agli incentivi previsti dalla L. n. 190/2014 e dalla L. n. 208/2015 e quanta parte sia invece associata al contratto a tutele crescenti. Al fine di identificare separatamente gli effetti delle due misure sarebbero necessarie, congiuntamente per ogni avviamento, le informazioni relative al numero di giorni trascorsi dal termine dell’ultimo rapporto di lavoro a tempo indeterminato e alla dimensione di impresa al momento dell’assunzione[7]. Quest’ultimo dato non è al momento disponibile nella base dati utilizzata per la stima degli effetti; l’integrazione storicizzata della banca dati ricavata dal sistema SISCO con altre banche dati in grado di fornire il dato sulla dimensione di impresa consentirà in ulteriori futuri sviluppi del lavoro di stimare separatamente gli effetti delle due misure[8].
Formalizzando la strategia di identificazione, viene definita per ciascun avviamento nel lavoro dipendente una variabile y (outcome) che assume valore 1 se l’avviamento è a tempo indeterminato, 0 altrimenti; viene inoltre definita per ciascun avviamento una variabile g, forcing variable (FV), che riporta il numero di giorni trascorsi tra la data dell’avviamento e la data di cessazione dell’ultimo avviamento a tempo indeterminato dello stesso lavoratore.
L’effetto della FV sull’outcome è, come visto, rilevante, in modo indipendente dalla presenza del trattamento: si osserva una maggiore propensione all’assunzione a tempo indeterminato al diminuire della distanza temporale dal termine dell’ultimo contratto a tempo indeterminato. Tale fenomeno non stupisce, dal momento che è possibile ipotizzare che la FV consenta di cogliere elementi legati in qualche misura alla competitività sul mercato del lavoro dei lavoratori avviati: individui che registrano avviamenti a tempo indeterminato avvenuti pochi giorni dopo il termine dell’ultimo rapporto a tempo indeterminato hanno una elevata competitività nel mercato ed è peraltro verosimile che, specie nei casi in cui la FV assume valori molto bassi, si tratti di mobilità volontaria e di transizioni job-to-job. All’estremo opposto si trovano individui meno competitivi, che hanno visto trascorrere diversi mesi dall’ultimo contratto a tempo indeterminato, o che non ne hanno mai avuto uno, e che pertanto presentano una più bassa propensione all’assunzione a tempo indeterminato. Rientrano in questi casi anche i primi ingressi nel lavoro dipendente per i quali il valore della FV non è facilmente calcolabile.
Per gli avviamenti successivi alla conclusione di un rapporto di lavoro a tempo indeterminato il calcolo della FV non pone problemi. Per i primi ingressi nel sistema SISCO il calcolo richiede la formulazione di alcune ipotesi, dal momento che non è possibile identificare un punto di inizio nel tempo dal quale far partire il conteggio. Il medesimo problema si manifesta anche per gli avviamenti successivi al primo di lavoratori che non hanno mai avuto un rapporto di lavoro a tempo indeterminato. In questi casi il punto di inizio del conteggio della FV ha richiesto la definizione di un algoritmo specifico: in primo luogo è stato fissato per ciascun lavoratore il giorno del primo avviamento rintracciabile nel sistema SISCO. Poiché tali avviamenti sono comunque eleggibili alla misura di sgravio, a tale quantità sono stati sommati 183 giorni in modo da rendere coerente la FV con la soglia di eleggibilità. Infine, per evitare concentrazioni del valore della FV in corrispondenza di multipli di 183 giorni, al valore della FV è stata sottratta una quantità pari a un numero casuale estratto da una distribuzione gamma (2,2).
Per gli avviamenti che seguono la conclusione di un rapporto a tempo indeterminato è possibile che il lavoratore interessato abbia avuto altri rapporti di lavoro per i quali la comunicazione nel sistema SISCO non è prevista, come ad esempio il lavoro autonomo strettamente inteso. In questo caso il conteggio, pur formalmente corretto in base alla definizione della FV, potrebbe nascondere, per valori elevati della FV, periodi di lavoro non osservabili con i dati a disposizione.
La FV può assumere valori negativi, che corrispondono ad avviamenti avvenuti prima del termine di un precedente rapporto di lavoro a tempo indeterminato, ovvero rapporti di lavoro almeno parzialmente sovrapposti. Nel lavoro subordinato tale fattispecie è in molti casi ammissibile e può verificarsi ad esempio nel caso di più rapporti a tempo parziale in capo allo stesso lavoratore o in casi simili. Tuttavia non si può escludere che tali valori siano frutto di errori di registrazione o di correzione del dato avvenuta nella fase di genesi del registro. Gli avviamenti che presentano valori negativi della FV, pari al 6,1% del totale degli avviamenti nel periodo 2010-2016, sono stati eliminati dall’analisi; si tratterebbe comunque di avviamenti non ammissibili al trattamento.
Valori della FV nulli o inferiori a 10 giorni corrispondono a rapporti di lavoro iniziati lo stesso giorno della cessazione di un precedente rapporto a tempo indeterminato o pochi giorni dopo; in simili casi si tratta molto verosimilmente di transizioni job-to-job di tipo volontario o di modifiche che coinvolgono intere imprese[9]. L’incidenza degli avviamenti a tempo indeterminato sul totale degli avviamenti passa da valori prossimi a 1 in corrispondenza di g
In accordo con la strategia di identificazione degli effetti è stato definito un modello RDD di tipo sharp[10] (Per approfondimenti metodologici sui diversi approcci nell’utilizzo del RDD si rimanda a Van Der Klaauw 2008). L’approccio è di tipo parametrico[11], considerando l’intero spettro di variazione della FV. La specificazione del modello rientra nella classe di modelli non lineari e in particolare considera una funzione di tipo allometrico che ben si adatta al caso di relazione inversa non lineare tra la variabile dipendente e la FV.
La forma funzionale è data da:
y = cgβ (1)
Tale forma può essere linearizzata come segue, ponendo:
In (y) = In(cgβ ) =α +β In(g) (2)
applicando la forma funzionale data dalla (2) separatamente sulle regioni della FV, T=0 e T=1, si ottengono le seguenti specificazioni:

da cui:

Il modello complessivo può essere definito come segue:

Considerando il modello complessivo, il valore controfattuale stimato nella regione T=1 (g>=183) è dato da, mentre il valore dell’effetto netto sui trattati è dato da

Il modello è stato stimato su dati aggregati rispetto a ciascun valore della FV, esclusi i valori g
Al fine di ridurre fenomeni di distorsione dovuti a differente composizione dei due gruppi, ai modelli sopra definiti è stato aggiunto un set di covariate, espresse, per ciascun valore della FV, in termini di quote di avviamenti; la covariate riportano il profilo demografico, le caratteristiche del rapporto di lavoro avviato, il mese di avviamento[12]. Tra le covariate è stato considerato anche la variazione media del valore aggiunto nel settore di avviamento, necessaria per depurare le stime dagli effetti di ciclo economico e dall’effetti differenziale del ciclo tra i settori di attività economica.
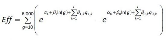
In base alla (5) il valore dell’effetto netto, espresso in termini di numero assoluto di avviamenti, secondo le specifiche dei modelli (3) e (4), considerando i modelli con covariate, assume la forma seguente:

dove:
g: forcing variable;
parametri dei modelli stimati dalla (3) e dalla (4);
parametri riferiti alle L covariate, stimati dai modelli sulle regioni T=0 e T=1, rispettivamente;
valori delle covariate sulle regioni T=0 e T=1, rispettivamente.
Risultati
La base dati utilizzata riporta gli avviamenti nel lavoro dipendente a tempo determinato e indeterminato dal 2010 al 2016. Dalle prime osservazioni (tabella 3) si evidenzia il diverso livello della quota di avviamenti a tempo indeterminato sul totale degli avviamenti tra eleggibili e non eleggibili: per i primi il valore è compreso, negli anni considerati, tra il 16,3% e il 28,8% mentre varia tra 50,5% e 43,2% per gli avviamenti non eleggibili. Dalla tabella 3 è possibile apprezzare anche la marcata discontinuità dell’indicatore misurato sulla popolazione eleggibile nel 2015 e, in misura minore, nel 2016.

L’incidenza degli avviamenti a tempo indeterminato sul totale è, come accennato, decrescente al crescere della distanza tra la data di avviamento e la data di cessazione dell’ultimo rapporto a tempo indeterminato (figura 10). La continuità della relazione tra i due parametri è costante per gli anni di non trattamento mentre si osserva una discontinuità rilevante nel 2015 e nel 2016 in prossimità della soglia di eleggibilità.

L’analisi delle composizioni rispetto alle caratteristiche demografiche e occupazionali (tabella 4) evidenzia numerose differenze tra eleggibili e non eleggibili, costanti nei diversi anni considerati. Tra i lavoratori interessati da avviamenti eleggibili presentano un’incidenza maggiore le donne, i più giovani, gli individui con titolo di studio più elevato. Incidenze più basse si registrano per le attività manifatturiere e nelle professioni meno qualificate.

In base alla stima dei modelli specificati nella parte di esposizione della metodologia (i modelli completi sono riportati in appendice) risulta un effetto netto delle due misure (decontribuzione e contratto e tutele crescenti) pari a oltre 606mila avviamenti a tempo indeterminato nel 2015 e a 300mila circa nell’anno successivo, a cui corrisponde un aumento netto dell’incidenza degli avviamenti a tempo indeterminato pari al 13,1% e all’8,0% nel 2015 e nel 2016, rispettivamente[13].
In entrambi i casi si tratta di oltre la metà degli avviamenti eleggibili a tempo indeterminato registrati nell’anno.
Il valore controfattuale stimato per il 2015 corrisponde a un valore superiore del 10% rispetto a quanto registrato nel 2014, suggerendo che in assenza di modifiche normative vi sarebbe stato comunque un incremento delle assunzioni a tempo indeterminato, dovuto verosimilmente alla ripresa della crescita.
Il valore controfattuale del 2016, che risulta inferiore del 40% circa rispetto al 2014, risente in qualche misura dell’effetto anticipo, dovuto alla riduzione dei benefici nel 2016, fenomeno che ha concentrato una quota rilevante di avviamenti nell’ultimo trimestre del 2015, anticipando avviamenti che, in assenza di modifiche normative, sarebbero avvenuti nell’anno successivo.
Nel biennio quindi, considerando i soli avviamenti eleggibili agli incentivi, su poco più di 2 milioni di avviamenti, il 44,1%, corrispondente a 906mila avviamenti, risulta dovuto alle modifiche normative.
Le due figure seguenti (11 e 12) riportano le stime dell’effetto netto delle due misure e dello scenario controfattuale secondo il valore della FV.


Da ultimo, al fine di effettuare analisi di robustezza, il modello è stato stimato negli anni nei quali le due misure non erano vigenti ottenendo una stima dell’effetto statisticamente nulla, tranne che nella regione immediatamente a destra della soglia (figura 13), vale a dire per rapporti di lavoro avviati con distanze molto brevi dalla conclusione dell’ultimo rapporto e tempo indeterminato o per primi ingressi nell’occupazione. Negli anni 2010-2014 sono stati comunque attivi provvedimenti di incentivo all’occupazione a tempo indeterminato che hanno riguardato in larga misura la fascia più giovane della popolazione, concentrata su valori della FV di poco superiori alla soglia di ammissibilità, anche se tali provvedimenti non prevedevano una specifica soglia di ammissibilità. Tale effetto è dovuto alla più bassa incidenza tra i giovani di ingressi con contratto a tempo indeterminato e alle modalità di costruzione della FV per gli avviamenti riferiti a lavoratori che non hanno avuto nel periodo considerato alcun avviamento a tempo indeterminato. Nella regione immediatamente a destra della soglia v’è pertanto una quota elevata di giovani, ai quali sono stati destinati nel periodo 2010-2014 provvedimenti rilevanti destinati all’assunzione a tempo indeterminato, come il Programma Garanzia per i Giovani e il D.Lgs. n. 76/2013, che spiegano in qualche misura la presenza di un effetto a ridosso della soglia anche negli anni di non trattamento.

5. Conclusioni
Le due misure analizzate, la possibilità di fruire di uno sgravio contributivo ? totale nel 2015 e parziale nell’anno successivo ? per le assunzioni a tempo indeterminato e la modifica della disciplina sul licenziamento introdotta dal contratto a tutele crescenti, hanno avuto un impatto rilevante sull’aumento dell’occupazione stabile, sia nel 2015 che, in misura minore, nell’anno successivo. Nel 2015 l’impatto congiunto delle due misure ha generato un aumento del 13,1% della quota di nuove assunzioni nel lavoro stabile sul totale degli avviamenti nell’occupazione dipendente, corrispondente a circa 606.000 contratti addizionali; nel 2016 l’effetto in termini di quota di assunzioni sul totale è pari all’8,0% e a 300mila nuove assunzioni. Considerando congiuntamente il biennio di disponibilità degli incentivi, 2015-2016, l’effetto complessivo corrisponde a oltre 900mila occupati nel periodo. I risultati, pur riferendosi all’impatto congiunto degli incentivi contributivi e del contratto a tutele crescenti, come più volte ricordato, non consentono di identificare la quota parte della seconda misura.
Tali risultati sono decisamente degni di nota, dal momento che rivelano che le misure varate hanno consentito di recuperare in un biennio l’occupazione persa nel corso degli anni di crisi. I risultati non considerano poi l’impatto sulle trasformazioni di contratti a termine in rapporti di lavoro stabile, che, se positivo, ha verosimilmente aumentato la qualità dell’occupazione in termini di sicurezza del posto di lavoro. Il flusso di cessazioni inoltre non ha mostrato incrementi rilevanti negli anni successivi alle assunzioni avvenute tramite la fruizione dell’incentivo, come in realtà si temeva, qualificando ancor più positivamente i risultati ottenuti.
La drastica riduzione del costo del lavoro dovuto all’esonero contributivo ha certamente giocato un ruolo decisivo, confermato dall’incremento marcato delle assunzioni a tempo indeterminato negli ultimi due mesi del 2015, immediatamente dopo l’annuncio della riduzione dei benefici per l’anno successivo. Tuttavia, parallelamente alla riduzione e poi all’abolizione degli incentivi generalizzati, il flusso di nuovi contratti a tempo indeterminato ha perso progressivamente lo slancio iniziale e ha ripreso a crescere a tassi simili a quelli del periodo precedente all’introduzione degli incentivi, mentre i nuovi rapporti di lavoro a tempo determinato hanno registrato dall’inizio del 2017 tassi di crescita più sostenuti rispetto a quelli a tempo indeterminato. Dall’inizio della fase di ripresa della crescita fino a tutto il 2017, il contributo all’aumento dell’occupazione dipendente, pur in un momento di forte incremento, è venuto principalmente dal lavoro a termine, ad eccezione del biennio 2015-2016, paventando la possibilità che l’aumento dell’occupazione a tempo indeterminato nel periodo considerato non abbia avuto carattere strutturale, ma meramente episodico, limitato al solo biennio di disponibilità dello sgravio contributivo. Venuti meno gli incentivi sembra che il flusso di nuovi contratti a tempo indeterminato abbia ripreso il trend precedente, che avrebbe in larga misura un carattere strutturale.
Alcuni ulteriori elementi trattati contribuiscono a disegnare un quadro per molti versi delicato e prospettive non sufficientemente chiare sul modello di evoluzione del mercato del lavoro nella fase di ripresa della crescita economica. Un livello dell’occupazione ai massimi storici, parallelamente al volume del prodotto interno lordo che sconta ancora circa 4,4 punti percentuali da recuperare rispetto al 2008, tende a minare la possibilità di migliorare i livelli di produttività. Il quadro esposto pone domande sugli assetti che il mercato del lavoro e l’intero sistema economico assumerà nel futuro, pur proseguendo la fase espansiva dell’economia.
In conclusione, le evidenze presentate portano a ipotizzare che l’aver agito solo dal lato dell’offerta di lavoro con strumenti (pur efficaci) di stimolo alle assunzioni stabili non sia stato sufficiente a garantire alla crescita dell’occupazione un carattere strutturale, rivelando che, in assenza di incentivi, una tendenza alla flessibilizzazione dei contratti sembra prevalere anche nelle fasi espansive.
Per l'appendice si veda il pdf allegato.
Bibliografia
Anastasia B., Emireni G., Gambuzza M., Maschio S., Rasera M. (2016), Grammatica Delle Comunicazioni Obbligatorie /3. Guida alle elaborazioni a partire dai dati di flusso, Veneto Lavoro – Osservatorio & Ricerca < goo.gl/E8vEMe >
Bisio L., Zurlo D. (2018), Gli effetti del contratto a tutele crescenti sulla crescita occupazionale delle imprese: una valutazione quantitativa, in Istat, Rapporto sulla competitività dei settori produttivi. Edizione 2018, Roma, Istat, pp.24-30
Boeri T., Garibaldi P. (2018), Graded security and labor market mobility clean evidence from the italian Jobs Act, Roma, Inps, WorkINPS Paper n.10 < goo.gl/Vfa2di >
Canal T. (a cura di) (2016), L’Italia fra Jobs act ed Europa 2020. Rapporto di monitoraggio del mercato del lavoro 2015, Roma, Isfol, I libri del Fondo sociale europeo
Centra M., Gualtieri V. (2017), Incentivi al lavoro permanente e contratto a tutele crescenti. Una stima dell’impatto sulle nuove assunzioni nel 2015, Sinappsi, VII, n.1, pp.71-93
De Blasio G., De Mitri S., D’Ignazio A., Finaldi Russo P., Stoppani L. (2017), Public Guarantees on Loans to SMEs: an RDD Evaluation, Roma, Banca d’Italia, Temi di Discussione, n. 1111
Deville J.C., Särndal C.E. (1992), Calibration Estimators in Survey Sampling, Journal of the American Statistical Association, 87, n.418, pp.367-382
Fana M., Guarascio D., Cirillo V. (2015), Labour market reforms in Italy: evaluating the effects of the Jobs Act, ISI Growth Working paper 5 < goo.gl/XXshhu >
Garibaldi P., Pacelli L., Borgarello A. (2004), Employment Protection Legislation and the Size of Firms, Giornale degli Economisti e Annali di Economia, 63, n.1, pp.33-68
Giraudo M., Quaranta R. (2018), L’utilizzo a fini scientifici di dati di fonte amministrativa e il campionamento per date di nascita. Procedure di ponderazione in assenza di informazioni sui totali di popolazione, Mimeo online printing
Imbens G., Lemieux T. (eds.) (2008), The regression discontinuity design. Theory and applications, Journal of Econometrics – Special Issue, 144, n.2, pp.611-614
Inps (2016), XV Rapporto annuale dell’Inps, Roma, Inps < goo.gl/DqMR2m >
Lemieux T., Milligan K. (2008), Incentive effects of social assistance: a regression discontinuity approach, Journal of Econometrics, 142, n.2, pp.807-828
Malo M.A., Cueto B. (2013), Temporary Contracts across Generations. Long-term effects of a labour market reform at the margin, MPRA Paper No. 44275 < goo.gl/KGZNpv >
Martini A., Sisti M. (2009), Valutare il successo delle politiche pubbliche, Bologna, il Mulino
Sestito P., Viviano E. (2016), Hiring incentives and/or firing cost reduction? Evaluating the impact of the 2015 policies on the Italian labour market, Roma, Banca d’Italia, Questioni di Economia e Finanza – Occasional papers n.325
Schivardi F., Torrini R., (2008). Identifying the effects of firing restrictions through sizecontingent differences in regulation, Labour Economics, 15, n.3, pp.482–511
Schunemann B., Lechner M., Wunsch C. (2015), Do Long-Term Unemployed Workers Benefit from Targeted Wage Subsidies?, German Economic Review, 16, n.1, pp.43-64
Trivellato U. (2009), La valutazione degli effetti di politiche pubbliche: paradigma e pratiche, Trento, Irvapp, Irvapp WP n.2009-01, < goo.gl/deYP3G >
Thistlethwaite D.L., Campbell D.T. (1960), Regression-discontinuity analysis: An alternative to the ex post facto experiment, Journal of Educational Psychology, 51, n.6, pp.309–317
Trochim W. (1984), Research design for program evaluation. The regression-discontinuity approach, Beverly Hill (CA), Sage Publications
Van Der Klaauw W. (2008), Regression–Discontinuity Analysis: A Survey of Recent Developments in Economics, Labour, 22, n.2, pp.219-245
Gli autori
Marco Centra
m.centra@inapp.org
Ricercatore presso l’Inapp, insegna “Strumenti e metodi di valutazione delle politiche” alla Sapienza Università di Roma. In passato ha coordinato l’Area Analisi e valutazione delle politiche per l’occupazione dell’Isfol e la Struttura Lavoro e Professioni dell’Inapp; è stato membro della Commissione per la valutazione delle politiche di incentivo agli investimenti presso il Ministero delle Attività produttive.
Valentina Gualtieri
v.gualtieri@inapp.org
Ricercatrice presso l’Inapp, è specializzata nella progettazione e nell’implementazione di indagini statistiche e nell’analisi dei dati. Ha diretto il Servizio Statistico dell’Inapp e attualmente è project manager del programma OCSE-PIAAC.
Il presente contributo è stato redatto da Inapp in qualità di Organismo intermedio del PON SPAO con il contributo del FSE 2014-2020, Azione 8.5.6, Ambito di attività 2.
Gli autori desiderano ringraziare Michelangelo Filippi e Roberto Quaranta per i preziosi suggerimenti sul trattamento della banca dati e Manuel Marocco per l’aiuto fornito sulla descrizione del quadro normativo.