1. Introduzione
Il processo di flessibilizzazione del mercato del lavoro, adottato da molti Paesi europei per contrastare gli elevati livelli di disoccupazione, ha comportato la consistente crescita di varie forme di lavoro flessibile quali il part-time, i contratti a termine e, nel caso italiano, il lavoro parasubordinato[1] (Eurofound 2017). Con riferimento ai contratti a termine, l’Italia è tra i Paesi in cui questi sono cresciuti in misura maggiore (dal 6,8% nel 1994 al 15,4% nel 2017).
L’introduzione di flessibilità al margine, rappresentata dalla diffusione dei contratti a tempo determinato, ha suscitato un ampio dibattito in relazione alle sue conseguenze sia in termini di produttività del lavoro e performance di impresa, che di salari.
L’aumento dei contratti a termine è da ricondursi a diverse motivazioni sia di carattere istituzionale, derivanti dalle riforme di liberalizzazione del mercato del lavoro messe in atto negli ultimi decenni, che di tipo strutturale o legate ai cicli economici (De Cuyper et al. 2008). Rispetto ai fattori di lungo periodo, Burgess (1997) attribuisce l’aumento degli occupati a tempo determinato ai cambiamenti strutturali avvenuti nell’economia in termini di composizione delle industrie e delle categorie professionali. L’uso crescente dei contratti temporanei può essere, inoltre, ricondotto a forze demografiche identificabili in un aumento significativo della partecipazione femminile al mercato del lavoro e all’espansione del settore terziario (Hall et al. 1998). Infine, le fluttuazioni della domanda aggregata possono giustificare l’aumento dei contratti a termine. Durante i periodi di recessione, infatti, la disoccupazione tende ad aumentare e i lavoratori sono disposti ad accettare più facilmente contratti a tempo determinato per evitare di risultare nel gruppo di individui disoccupati (Nunziata e Staffolani 2008).
Da un punto di vista teorico, in letteratura si analizza l’impatto dei contratti a tempo determinato sui livelli di occupazione andando a investigare se l’aumento di occupazione che si osserva sia occupazione aggiuntiva o sostitutiva, se tali contratti svolgano effettivamente la funzione di stepping stone verso rapporti di lavoro più duraturi o se favoriscano la precarietà rivelandosi delle dead ends (Bentolila e Bertola 1990; Booth et al. 2002). Da un punto di vista empirico, invece, si misura l’impatto dei contratti a tempo determinato sul salario verificando l’esistenza o meno di un differenziale salariale rispetto ai contratti a tempo indeterminato (Davia e Hernanz 2004; Comi e Grasseni 2012; Lass e Wooden 2017). Studi recenti condotti in Inghilterra, Spagna e Germania hanno esaminato le retribuzioni e le condizioni legate all’occupazione a tempo determinato mettendo in luce che i lavoratori temporanei guadagnano meno dei lavoratori permanenti (Jimeno e Toharia 1993; Picchio 2008; Bosio 2014; Dias da Silva e Turrini 2015).
Il presente articolo si inserisce in questa letteratura con l’obiettivo di verificare l’esistenza di un differenziale salariale (wage gap) tra i lavoratori laureati assunti con un contratto a tempo determinato e quelli a tempo indeterminato. L’analisi è svolta a partire dall’indagine, Inserimento professionale dei laureati, condotta nel 2015 dall’Istat su un campione di individui che si sono laureati nel 2011. La scelta del campione deriva dal fatto che generalmente in letteratura si analizzano i differenziali salariali tra uomo e donna o tra occupati con contratti a tempo indeterminato e quelli a tempo determinato ma, raramente, si fa riferimento al titolo di studio posseduto dagli individui considerati. In questo lavoro viene quindi stimata l’equazione standard dei salari proposta da Mincer (1958; 1974) con l’aggiunta di una variabile dummy che misura il tipo di contratto, a tempo determinato o indeterminato, e di un insieme di variabili esplicative relative sia alle caratteristiche individuali che all’occupazione. Per tener conto delle distorsioni dovute al problema del self-selection si applica una procedura di stima a due stadi dove, al primo stadio, si stima la probabilità di entrare nel mercato del lavoro; al secondo stadio invece si stima l’equazione del salario inserendo, tra le variabili esplicative, l’inverso del Mills ratio ottenuto al primo stadio. Infine, per individuare quali tra le caratteristiche individuali o del lavoro e la tipologia di contratto abbia un ruolo maggiore nella determinazione del differenziale salariale tra lavoratori a tempo determinato e quelli a tempo indeterminato, si applica la decomposizione Oaxaca-Blinder (Oaxaca 1973; Blinder 1973).
I risultati della nostra analisi suggeriscono che i lavoratori in possesso di una laurea assunti con un contratto a tempo determinato guadagnano il 13% in meno rispetto ai loro omologhi (laureati) con contratto a tempo indeterminato. La maggior parte di questo differenziale sembra essere dovuta al cosiddetto effetto discriminatorio rappresentato dalla tipologia del contratto.
Il lavoro è strutturato nel modo seguente: il paragrafo 2 discute brevemente la letteratura, sia teorica che empirica, inerente i differenziali salariali; il paragrafo 3 presenta i dati e alcune statistiche descrittive, il paragrafo 4 descrive la metodologia utilizzata e presenta i principali risultati. Infine il paragrafo 5 conclude.
2. Letteratura di riferimento
Quando in letteratura si parla di differenziali salariali il punto di partenza è generalmente rappresentato dalle teorie neoclassiche basate sul concetto di differenziali compensativi. Secondo queste teorie, in un mercato privo di asimmetrie informative, i lavoratori assunti con un contratto a termine, contratto che offre di per sé meno sicurezze e dà all’impresa maggiori capacità di rispondere a eventuali shock esogeni sul mercato del lavoro, dovrebbero, a parità di altre caratteristiche, ottenere un premio salariale rispetto ai lavoratori assunti con un contratto a tempo indeterminato che per loro natura assicura maggior stabilità (Sattinger 1978; Rosen 1986). L’ipotesi di perfetta informazione è, nella realtà, un concetto idealistico e questo fa sì che l’idea di una compensazione per i lavoratori temporanei non trovi conferma nel mercato del lavoro.
La maggior parte delle analisi empiriche ha infatti smentito l’esistenza di un differenziale salariale a favore dei lavoratori con contratto a termine mettendo invece in luce la presenza di una penalizzazione salariale. Molte sono le teorie alla base di tale evidenza, per lo più di tipo microeconomico, tra cui troviamo i modelli basati sull’ipotesi del salario di efficienza. La possibilità di rinnovo del contratto secondo tali modelli, incentiva il lavoratore, per un dato salario percepito, a essere più produttivo. In un contesto in cui quindi vi sono maggiori chance di rinnovo, i lavoratori temporanei accettano, nel breve periodo, un salario inferiore alla loro controparte assunta a tempo indeterminato (Guell 2000; Engellandt e Riphahn 2005). Un’ulteriore spiegazione si ritrova nei modelli insider-outsider. Le riforme intraprese negli ultimi anni da molti Paesi europei, tra cui l’Italia, volte a incrementare la ‘flessibilità al margine’, hanno contribuito a generare una segmentazione del mercato del lavoro: da una parte troviamo i lavoratori occupati con contratto a tempo indeterminato (insiders) e, dall’altra, i lavoratori con contratto a tempo determinato (outsiders). A causa del minor potere di mercato di quest’ultima categoria, gli outsiders percepiscono un salario inferiore rispetto agli insiders. Il differenziale salariale fra i due gruppi di lavoratori rappresenterebbe in questo contesto, almeno in parte, una stima del potere di mercato di cui godono gli insiders e sarebbe una proxy del premio che questi ultimi percepiscono rispetto a un salario di concorrenza perfetta. Infine, i contratti a tempo determinato possono essere utilizzati dalle imprese come uno strumento di screening o di selezione (Loh 1994). Le imprese possono attrarre i lavoratori con abilità più elevate disposti ad accettare un salario più basso durante il periodo di prova. Da un punto di vista macroeconomico e strutturalista, l’esistenza di differenziali salariali viene ricondotta alla suddivisione fra lavoratori con caratteristiche diverse e diversi poteri contrattuali dell’extra-rendita derivante da posizioni temporanee di monopolio delle imprese (Pianta e Tancioni 2008). La suddivisione dei salari fra diverse categorie di lavoratori dipenderebbe in ultima istanza da fattori istituzionali e dal peso contrattuale di questi ultimi.
A livello europeo gli studi condotti mostrano che le differenze retributive fra lavoratori a tempo determinato e indeterminato variano dal 4% in Danimarca al 20% in Lituania (si veda e.g. Stancanelli 2002; Dias da Silva e Turrini 2015). La maggior parte delle analisi empiriche si sono concentrate sullo studio dei differenziali salariali medi (Bentolila e Gilles 1994; Oecd 2004). Jimeno e Toharia (1993), confrontando i salari percepiti dai lavoratori spagnoli a tempo determinato con quelli permanenti, mostrano che i primi ottengono un salario di circa il 9-11% inferiore rispetto ai secondi. In uno studio tedesco, Hagen (2002) trova un divario salariale che varia tra il 6 e il 10%, divario che aumenta al 23% una volta che controlla per la selezione su variabili non osservabili. Brown e Session (2005) analizzano il divario salariale associato al contratto a tempo determinato in otto Paesi europei (Regno Unito, Germania, Francia, Svizzera, Danimarca, Norvegia, Svezia e Portogallo) e in alcuni Paesi dell’Ocse (Stati Uniti, Canada, Giappone e Nuova Zelanda). I loro risultati mettono in luce che gli individui assunti con contratti a tempo determinato ricevono salari inferiori rispetto alla loro controparte contrattuale a tempo indeterminato. Gli stessi autori affermano poi che tale conclusione potrebbe essere indicativa di una discriminazione salariale nei confronti dei dipendenti a tempo determinato e suggeriscono una crescente protezione legale per i lavoratori a tempo determinato, come è stato fatto a partire dal 1999 dalla Commissione europea. Per quanto riguarda il mercato del lavoro italiano, Picchio (2006) e Rossetti e Tanda (2007) rilevano che i lavoratori assunti con contratti a tempo determinato guadagnano salari più bassi rispetto ai loro omologhi con contratti a tempo indeterminato. Rossetti e Tanda (2007) spiegano inoltre che tale risultato non è dovuto alle diverse caratteristiche dei due gruppi di lavoratori, poiché la differenza salariale persiste anche dopo aver controllato per le caratteristiche osservabili e non osservabili dei lavoratori, ma piuttosto alle differenze nel potere contrattuale e quindi alla protezione sindacale dei due gruppi di lavoratori. È inoltre importante ricordare che le differenze salariali possono permanere anche nel lungo periodo. Booth et al. (2002) trovano prove di una sostanziale penalizzazione della crescita dei salari associata all’esperienza di lavoro temporaneo. Basandosi sui dati inglesi dal 1991 al 1997, gli autori sottolineano che i soggetti che iniziano la loro carriera con un contratto a tempo determinato subiscono una perdita di guadagni a lungo termine rispetto a quanti entrano nel mondo del lavoro in posizioni permanenti.
Il nostro articolo si inserisce nel filone empirico di questa letteratura analizzando il differenziale salariale medio con l’obiettivo di verificare l’esistenza di un effetto discriminatorio dovuto alla tipologia di contratto (’effetto contratto’). Dato il campione utilizzato, l’attenzione si concentra sui lavoratori che possiedono un titolo di studio terziario. Questo elemento contraddistingue il nostro studio da quelli che generalmente si trovano in letteratura dove il livello di istruzione è utilizzato unicamente come variabile individuale di controllo. Infatti, ad oggi pochissimi lavori hanno esplicitamente analizzato l’esistenza di un gap salariale derivante dall’uso del contratto a tempo determinato fra i laureati. Sulla base degli studi svolti da Mertens e McGinnity (2005), Barbieri e Cutuli (2009), Comi e Grasseni (2012) e Bosio (2014), se i lavoratori con titolo terziario si concentrano nella parte alta della distribuzione dei salari, ci aspetteremmo un differenziale dovuto alle forme contrattuali modesto[2].
3. Dati e statistiche descrittive
Dati
L’analisi empirica è basata sui dati dell’indagine Istat 2015 riguardante l’inserimento professionale dei laureati. Insistendo su un campione di laureati nell’anno 2011 di cui approfondisce la condizione e il percorso occupazionale a distanza di quattro anni dal conseguimento del titolo, tale indagine raccoglie informazioni circa l’età, il genere, la cittadinanza, il tipo di laurea, la classe di laurea, la tipologia di attività lavorativa svolta, la professione ricoperta, la retribuzione e il settore di attività.
Al fine di stimare l’esistenza di un differenziale salariale fra laureati occupati rispetto a diversi regimi contrattuali, nello specifico con contratto a tempo determinato e indeterminato, abbiamo selezionato coloro che dichiarano di essere occupati con contratto di lavoro dipendente. Il campione ottenuto si compone di 28.345 osservazioni di cui: 17.296 lavoratori a tempo indeterminato e 11.048 a tempo determinato. Come specificato meglio nella sezione successiva, per correggere le stime per il bias dovuto all’auto-selezione, abbiamo condotto una prima analisi su un campione estratto dalla stessa indagine Istat, ma costituito dai laureati occupati e da quelli in cerca di occupazione[3].
Statistiche descrittive
La tabella 1 presenta le principali statistiche descrittive per il campione utilizzato nelle analisi, composto dai laureati occupati con contratto di lavoro dipendente a tempo determinato (39% del campione) e da quelli a tempo indeterminato (61%). In linea con precedenti studi, la tabella 1 mette in evidenza l’esistenza di un differenziale salariale fra le due tipologie di lavoratori: il salario medio mensile netto full-time equivalent(FTE) per i lavoratori a tempo indeterminato ammonta a 1.682 euro a fronte del salario netto mensile di coloro che hanno un contratto a tempo determinato pari a 1.420 euro. Guardando alle caratteristiche personali dei lavoratori, emerge che in media i laureati con contratto a tempo determinato sono più giovani, risultano infatti concentrati per oltre la metà nelle prime due classi d’età (<26 e 27-28 anni) delineando l’ipotesi che il contratto a tempo determinato rappresenti una modalità di ingresso all’interno del mercato del lavoro. Al contrario, i laureati occupati con un contratto a tempo indeterminato hanno per il 40% un’età compresa fra i 29 e i 33 anni e per il 28% un’età superiore ai 34 anni. Nel caso dei laureati occupati con un contratto a tempo indeterminato, il 69% si concentra nelle ultime due classi di età, suggerendo una correlazione positiva fra tipologia di contratto a tempo indeterminato ed età dell’occupato.)

Guardando alle caratteristiche del percorso di studi in relazione al contratto di lavoro non emergono delle differenze importanti sia in termini di performance del percorso di studi (durata e voto di laurea) che in merito alle discipline prescelte. La durata degli studi è simile per entrambi i gruppi (quattro anni circa, così come il voto di laurea medio). I laureati in Lettere, Filosofia, Lingue, Psicologia, Pedagogia ed Educazione fisica rappresentano più del 30% di ambo le tipologie contrattuali; sono poco meno del 20% i laureati nelle scienze pure; diversamente, i laureati in medicina con contratti a tempo indeterminato sono circa il 20% mentre quelli che ne hanno uno a tempo determinato sono invece il 30%. Infine, focalizzando l’attenzione sulle caratteristiche dell’occupazione svolta, emerge che circa il 25% lavora nel pubblico per ambo le tipologie contrattuali considerate. Gli individui intervistati, trattandosi di laureati, sono maggiormente concentrati nell’ordine tra le seguenti categorie professionali: professioni tecniche; professioni intellettuali, scientifiche e di alta specializzazione e professioni esecutive del lavoro d’ufficio. Emerge una certa omogeneità nella distribuzione per ISCO (classificazione internazionale aziendale delle professioni) a seconda della tipologia contrattuale. Di poco superiore, di circa due punti percentuali, è la quota di occupati laureati a tempo determinato nelle professioni legate al commercio e ai servizi. Fra le professioni altamente qualificate di tipo manageriale la quota di laureati a tempo determinato (4%) supera di 3 punti percentuali quella dei manager a tempo indeterminato (1%). Infine, il 22% dei lavoratori a tempo indeterminato e il 17% dei lavoratori a termine lavorano nelle regioni del Mezzogiorno. Tra il 5 e il 6% degli intervistati dichiara di lavorare all’estero rispettivamente con un contratto a termine e permanente.
La figura 1 presenta la distribuzione del logaritmo dei salari FTE ottenuta mediante lo stimatore Kernel. L’evidenza mostrata da questa figura conferma l’esistenza del gap retributivo esistente tra i due gruppi di lavoratori. Tale differenziale è statisticamente significativo[4].

La figura 2 presenta invece il salario netto mensile dei lavoratori a tempo determinato e indeterminato per tipo di laurea conseguita e mette in luce non solo che, indipendentemente dal settore scientifico-disciplinare, i lavoratori a tempo determinato ottengono un salario netto inferiore rispetto alla loro controparte a tempo indeterminato, ma anche che esiste un ranking retributivo fra laureati in discipline differenti. La retribuzione netta mensile di coloro che sono laureati in discipline strettamente scientifiche, quali Matematica, Fisica, Chimica, Biologia e Farmacia (definite in tabella scienze pure) è superiore rispetto alla retribuzione percepita dai laureati nelle altre discipline. In aggiunta, la figura 2 suggerisce che i laureati in questi ambiti sono caratterizzati da un più ampio gap salariale.

La figura 2 tiene conto solo dell’area disciplinare in cui si è conseguita la laurea e, dato il fenomeno del qualification mismatch[5], non possiamo associare direttamente alla disciplina di laurea la professione svolta e quindi dare delle indicazioni in merito al differenziale salariale rispetto alla professione stessa. In quest’ottica la figura 3 analizza l’esistenza di un divario salariale fra tipologie contrattuali in base alla professione svolta utilizzando la classificazione ISCO. Anche in questo caso emerge chiaramente un importante differenziale salariale fra lavoratori con contratto a tempo determinato e indeterminato per tutte le professioni svolte. Tale gap è particolarmente rilevante per le professioni manageriali e per le forze armate.

4. L’analisi econometrica
Nel paragrafo 3 si è visto che esiste una penalizzazione salariale a discapito dei lavoratori a tempo determinato (tabella 1): ciò è quanto si osserva dal confronto dei salari medi, ma va tuttavia considerato che parte di tale differenziale può riflettere diversità nel tipo di lavoro e nelle caratteristiche dei lavoratori con contratti temporanei o permanenti.
Obiettivo dell’analisi è isolare l’effetto del tipo di contratto sul differenziale di salario controllando nelle stime per le caratteristiche individuali e delle occupazioni. Nell’analisi empirica si è scelto il salario mensile netto full-time equivalent quale misura per il confronto tra le due categorie di lavoratori perché consente di valutare le differenze di remunerazione indipendentemente dal numero di ore lavorate (Villosio e Contini 2008).
La tecnica di analisi
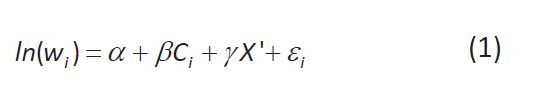
L’esistenza o meno di un differenziale salariale fra gli occupati con contratti a tempo indeterminato e quelli con contratto a tempo determinato è verificata inizialmente con una stima OLS dell’equazione minceriana dei salari:

dove la variabile dipendente è il (ln) del salario netto mensile (FTE) percepito dall’individuo i, la forma del contratto è rappresentata da una variabile dummy, Ci, che assume valore uguale a 1 se il lavoratore ha un contratto a termine, 0 altrimenti. Il vettore X contiene un insieme di variabili di controllo sia per l’individuo (età, genere, stato civile, voto di laurea, esperienze lavorative durante gli studi, voto di diploma, area geografica di residenza prima della laurea, tipo di laurea, background socio-economico) che per il tipo di occupazione (settore di attività, tipo di professione, durata dell’attuale lavoro, area geografica del lavoro svolto, settore pubblico/privato, part-time). Infine, ?i indica il termine di errore, che si ipotizza distribuito indipendentemente e identicamente tra gli individui e ha media pari a 0 e varianza costante. La gran parte delle variabili esplicative sono qualitative e vanno, quindi, interpretate in rapporto alla componente omessa.
Come evidenziato in letteratura, le stime OLS presentano però due problemi che possono distorcere la stima del differenziale salariale (Davia e Hernanz 2004; Bosio 2009; Comi e Grasseni 2012). In primo luogo, il salario è osservabile per i soli lavoratori occupati e la condizione di occupato non è una caratteristica distribuita casualmente nella popolazione; pertanto le stime possono essere influenzate da problemi di self-selection. In secondo luogo, la variabile dummy, che rappresenta la forma contrattuale, può essere correlata con il termine di errore nell’equazione del salario se le caratteristiche osservate del lavoratore e dell’occupazione non sono sufficienti a controllare per tutte le variabili che influenzano il livello del salario. Per risolvere questo problema si può fare ricorso al metodo delle variabili strumentali.
Nella nostra analisi, in base alle informazioni contenute nel data set utilizzato, cerchiamo di correggere per la prima fonte di bias stimando l’equazione del salario con una procedura a due stadi (Heckman 1979). In particolare, al primo stadio, stimiamo la probabilità (modello probit) di essere occupati rispetto alla condizione di disoccupato ottenendo un fattore di correzione dell’errore: l’inverso del Mills ratio[6]. Al secondo stadio stimiamo l’equazione del salario (equazione 1) inserendo tra i regressori l’inverso del Mills rati[7]. La variabile dipendente nella stima probit per la probabilità di occupazione è dicotomica: quando l’individuo percepisce un reddito da lavoro dipendente è uguale a 1 ed è pari a 0 altrimenti.
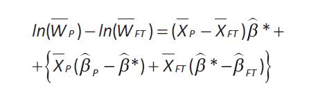
Infine, analizziamo il wage gap a sfavore dei lavoratori a tempo determinato facendo ricorso a tecniche econometriche di scomposizione dei salari. Ancora oggi, larga parte della letteratura di natura empirica applica la scomposizione proposta da Oaxaca (1973) e Blinder (1973). Questa scomposizione si basa sulla stima separata per i lavoratori a tempo determinato e permanenti dell’equazione (1). Dopo la stima del modello, congiuntamente per i lavoratori a tempo determinato e permanenti, la differenza delle retribuzioni medie tra i due gruppi può essere scomposta come segue:

dove il primo termine del lato destro dell’equazione rappresenta la ‘componente spiegata’, mentre il secondo termine indica la ‘componente non spiegata’, detta anche effetto discriminatorio. Uno dei limiti di questo modello è però che i risultati ottenuti rappresentano solo valori medi, che potrebbero quindi non rappresentare in modo adeguato tutti i dipendenti. I risultati della scomposizione Oaxaca-Blinder sono riportati nella tabella 4.
I principali risultati
In questo paragrafo si illustrano i principali risultati ottenuti dall’applicazione della metodologia presentata. In particolare, la tabella 2 mostra che, a parità di altre caratteristiche individuali, i lavoratori con un contratto a tempo determinato, percepiscono un salario netto mensile inferiore di circa il 14% rispetto ai loro colleghi assunti a tempo indeterminato. Le altre variabili hanno tutte il segno previsto e sono tutte statisticamente significative all’1%.

Si noti che avere una laurea specialistica, anziché triennale, fa aumentare il salario del 6,4%, e che lavorare nel settore pubblico ha effetto positivo. La durata degli anni di studio universitario sembra invece avere un effetto negativo. Come noto (si veda e.g. Canal e Gualtieri 2018), le retribuzioni delle donne sono mediamente più basse rispetto a quelle degli uomini; in particolare le donne percepiscono circa il 10% in meno rispetto agli uomini. Il salario tende poi ad aumentare con l’anzianità di servizio in maniera non lineare (il segno negativo del quadrato della variabile tenure conferma l’ipotesi dei rendimenti decrescenti legati all’esperienza) e con l’età, in particolare per i lavoratori laureati che hanno più di 34 anni. Il coefficiente della variabile part-time è positivo e significativo perché il salario mensile per i lavoratori part-time è stato corretto per renderlo equivalente al salario dei lavoratori full-time. Interessante è anche l’effetto della classe di laurea: chi si laurea in ambito medico (categoria base nella regressione) percepisce un salario maggiore rispetto a tutte le altre lauree. Infine nelle regioni del Mezzogiorno gli occupati a termine hanno una retribuzione netta mensile inferiore del 14,8% rispetto a quelli che lavorano nelle altre regioni italiane.
Poiché, come si è detto nel paragrafo precedente, le informazioni sul salario sono disponibili solo per gli individui che lavorano e la condizione di occupato non è una caratteristica distribuita in modo casuale all’interno della popolazione, potrebbe emergere un bias dovuto alla selezione. Per correggere le stime dei coefficienti si è proceduto a una stima a due stadi come riportato nella tabella 3.

La prima colonna mostra i risultati inerenti al primo stadio, ovvero alla stima della probabilità di essere un occupato dipendente. Le variabili esplicative includono caratteristiche individuali e socio demografiche tra cui: il genere, una variabile dummy per lo stato civile, lo status di studente lavoratore, la classe di età, l’area geografica di residenza, se il padre è percettore di reddito/pensione, il voto del diploma, l’area disciplinare della laurea conseguita e l’interazione tra il genere e lo stato civile. Le variabili di selezione, che si ipotizza abbiano un’influenza sulla scelta di essere occupato ma non sul livello del salario percepito, sono: lo stato civile e la sua interazione con il genere, il voto di diploma, lo status di studente lavoratore, avere un padre percettore di reddito o pensione, gli anni di studio e l’area disciplinare della laurea. I coefficienti delle variabili di controllo hanno tutte il segno atteso e sono statisticamente significative.
Dalla stima di questo primo stadio si ottiene l’inverso del Mills ratio che viene poi inserito come regressore nell’equazione minceriana del salario. La seconda colonna della tabella 3 riporta i risultati per questa seconda stima. Nel dettaglio, si osserva che il Mills ratio è significativo e che il coefficiente della dummy relativa ai contratti a tempo determinato diminuisce: la penalizzazione salariale dei lavoratori a termine rispetto a quelli permanenti passa dal 14,3% nella stima OLS al 13,8% in quella con la correzione per il self-selection bias. Una volta quindi che si corregge per la possibile selezione del campione il gap retributivo si riduce. Il segno e la significatività dei coefficienti delle altre variabili non subiscono variazioni.
Sulla base di tali regressioni, si è passati a decomporre il differenziale salariale mediante la metodologia proposta da Oaxaca (1973) e Blinder (1973) sintetizzata nella tabella 4. Ciò che interessa comprendere attraverso questa decomposizione è se la differenza tra i salari dei contratti a tempo indeterminato e dei contratti a tempo determinato dipenda o meno dalla tipologia contrattuale o se la differenza sia dovuta ad altri fattori. Dalla tabella 4 si evince che il differenziale salariale fra lavoratori a tempo indeterminato e determinato è pari al 13,2% sull’intero campione. Rispetto a tale differenziale, la quota non spiegata dalle variabili incluse nell’analisi supera il 50% a sottolineare l’esistenza di una discriminazione fra lavoratori occupati caratterizzati da diversi regimi contrattuali.

5. Conclusioni
La diffusione dell’uso dei contratti a tempo determinato ha riacceso il dibattito relativo agli effetti del lavoro temporaneo sulle condizioni lavorative degli individui. Parte della letteratura si è concentrata sulle conseguenze distributive. A partire da questo filone, in questo articolo, utilizzando un campione di lavoratori laureati nel 2011, valutiamo le retribuzioni degli occupati con un titolo di studio terziario in base all’inquadramento contrattuale (a tempo determinato o indeterminato) per verificare l’esistenza o meno di un differenziale salariale dovuto al contratto.
Dopo aver controllato per un insieme di caratteristiche relative all’individuo e al posto di lavoro, e per la possibile distorsione dovuta al problema del self-selection, stimiamo attraverso il metodo della decomposizione Oaxaca-Blinder il differenziale salariale. I risultati suggeriscono che i laureati inquadrati con un contratto a tempo determinato percepiscono un salario in media inferiore del 13% rispetto a quello dei loro colleghi a tempo indeterminato.
Il presente studio, rispetto alla letteratura empirica esistente, fornisce due approfondimenti. In primo luogo, intende valutare l’esistenza di un differenziale salariale in un gruppo di lavoratori qualificati e potenzialmente inquadrabili in posizioni lavorative altamente retribuite. La letteratura che ha stimato il differenziale salariale in diversi punti della distribuzione dei salari ha messo in luce un’eterogeneità della penalizzazione salariale lungo la distribuzione. In particolare, fra i lavoratori maggiormente retribuiti, il differenziale salariale dovuto al contratto è minore rispetto a quello stimato per i lavoratori che si trovano nella parte bassa o centrale della distribuzione. Il nostro lavoro, concentrandosi esclusivamente sui laureati, che come detto in precedenza sono potenzialmente collocabili nella parte alta della distribuzione, consente di stimare l’esistenza di un gap salariale riconducibile al contratto. Dalla nostra analisi emerge che il differenziale continua a esistere e si attesta intorno al 13% a sfavore dei lavoratori a tempo determinato. In secondo luogo, abbiamo stimato l’entità dell’effetto contratto evidenziando che oltre la metà del gap salariale dovuto al contratto a tempo determinato non è riconducibile a caratteristiche osservabili del lavoratore o del posto di lavoro in cui questo opera, ma è esclusivamente riconducibile all’essere un lavoratore a tempo determinato.
Sulla base di tali evidenze, risulta importante monitorare l’adozione dei contratti a termine poiché possono rappresentare una modalità di diffusione della disuguaglianza fra i lavoratori.

Bibliografia
Barbieri P., Cutuli G. (2010), A uguale lavoro, paghe diverse. Differenziali salariali e lavoro a termine nel mercato del lavoro italiano, Stato e mercato, n.3, pp.471-504
Bentolila S., Bertola G. (1990), Firing costs and labour demand. How bad is eurosclerosis?, Review of Economic Studies, 57, n.3, pp.381-402
Bentolila S., Gilles S. (1994), A model of labour demand with linear adjustment costs, Labour Economics, 1, n.3-4, pp.303-326
Blinder A. (1973), Wage discrimination. Reduced form and structural estimates, Journal of Human Resources, 8, n.4, pp.436-455
Booth A.L., Dolado J.J., Frank J. (2002), Symposium on temporary work introduction, Economic Journal, 112, n.480, pp.181-188
Bosio G. (2009), Temporary employment and wage gap with permanent jobs. Evidence from quantile regression, MPRA Paper n.16055, Munich, MPRA <https://bit.ly/2skCQZM>
Bosio G. (2014), The implications of temporary jobs on the distribution of wages in Italy. An unconditional IVQTE approach, Labour, 28, n.1, pp.64-86
Brown S., Sessions J. (2005), Employee attitudes, earnings and fixed-term contracts. International evidence, Review of World Economics, 141, n.2, pp.296-317
Burgess J. (1997), The flexible firm and the growth of non-standard employment, Labour and Industry, 7, n.3, pp.85-102
Canal T., Gualtieri V. (2018), Il punto su donne e lavoro, Inapp Policy Brief n.6, Roma, INAPP
Comi S., Grasseni M. (2012), Are temporary workers discriminated against? Evidence from Europe, The Manchester School, 80, n.1, pp.28-50
Davia M.A., Hernanz V. (2004), Temporary employment and segmentation in the Spanish labour market. An empirical analysis through the study of wage differentials, Spanish Economic Review, 6, n.4, pp.291-318
De Cuyper N., de Jong J., De Witte H., Isaksson K., Rigotti T., Schalk R. (2008), Literature review of theory and research on the psychological impact of temporary employment. Towards a conceptual model, International Journal of Management Reviews, 10, n.1, pp.25-51
Dias da Silva A., Turrini A. (2015), Precarious and less well-paid? Wage differences between permanent and fixed-term contracts across the EU countries, European Economy - Economic Papers n.544, European Commissione - Directorate General Economic and Financial Affairs (DG ECFIN) <https://bit.ly/2D3p83L>
Engellandt A., Riphahn R.T. (2005), Temporary contracts and employee effort, Labour economics, 12, n.3, pp.281-299
Eurofound (2017), Non-standard forms of employment. Recent trends and future prospects, Dublin, Eurofound
Güell M. (2000), Fixed-term contracts and unemployment. An efficiency wage analysis, Industrial Relations Section Working Papers n.433, Princeton, Princeton University
Hagen T. (2002), Do temporary workers receive risk premiums? Assessing the wage effects of fixed-term contracts in West Germany by a matching estimator compared with parametric approaches, Labour, 16, n.4, pp.667-705
Hall R., Harley B., Whitehouse G. (1998), Contingent work and gender in Australia. Evidence from the 1995 Australian Workplace Industrial Relations Survey, The Economic and Labour Relations Review, 9, n.1, pp.55-81
Heckman J. (1979), Sample selection bias as specification error, Econometrica, 47, n.1, pp.153-162
Jimeno J.F., Toharia L. (1993), The effects of fixed-term employment on wages. Theory and evidence from Spain, Investigaciones económicas, 17, n.3, pp.475-494
Lass I., Wooden M. (2017), The structure of the wage gap for temporary workers. Evidence from Australian panel data, Melbourne Institute Working Paper n.8, Melbourne, University of Melbourne <https://bit.ly/2D4QJBL>
Loh E. (1994), Employment probation as a sorting mechanism, Industrial and Labor Relations Reviews, 47, n.3, pp.471-486
Mertens A., McGinnity F. (2005), A ‘two-tier’ labour market for fixed-term jobs? Evaluating evidence from West Germany using quantile regression, Schmollers Jahrbuch, 125, n.1, pp.75-85
Mincer J. (1958), Investment in Human Capital and Personal Income Distribution, Journal of Political Economy, 66, n.4, pp.281-302
Mincer J. (1974), Schooling, Experience and Earnings, New York, National Bureau of Economic Research
Nunziata L., Staffolani S. (2007), Short-term contracts regulations and dynamic labour demand. Theory and evidence, Scottish Journal of Political Economy, 54, n.1, pp.72-104
Oaxaca R. (1973), Male-female wage differentials in urban labor markets, International Economic Review, 14, n.3, pp.693-709
OECD (2004), OECD Employment Outlook 2004, Paris, OECD Publishing
Pianta M., Tancioni M. (2008), Innovations, wages, and profits, Journal of Post Keynesian Economics, 31, n.1, pp.101-123
Picchio M. (2006), Wage differentials and temporary jobs in Italy, Quaderni di Ricerca n.257, Ancona, Università Politecnica delle Marche
Picchio M. (2008), Temporary Contracts and Transitions to Stable Jobs in Italy, Labour, 22, n.s1, pp.147-174
Quintini G. (2011), Over-Qualified or Under-Skilled. A Review of Existing Literature, OECD Social, Employment and Migration Working Papers n.121, Paris, OECD Publishing
Rosen S. (1986), The theory of equalizing differences, in Ashenfelter O., Layard R. (eds.), Handbook of Labor Economics, vol.1, chap.12, pp.641-692
Rossetti S., Tanda P. (2007), Flexibility, labour contracts and wage differentials, Politica Economica, n.1, pp.65-82
Sattinger M. (1978), Comparative advantage in individuals, The Review of Economics and Statistics, 60, n.2, pp.259-267
Stancanelli E.G. (2002), Do temporary jobs pay? Wages and career perspectives of temporary workers, Labour, 16, n.4, pp.667-705